Curtis and Qua Creeks Productivity Analysis 2017

The suggested citation for this analytic report is:

Thorley, J.L. and Dalgarno, S. (2018) Curtis and Qua Creeks Productivity Analysis 2017. A Poisson Consulting Analysis Report. URL: https://www.poissonconsulting.ca/f/611560309.

Background

Water chemistry, invertebrate and fish data were collected from Curtis and Qua Creeks from 2015 to 2017 and periphyton data were collected in 2015 and 2016 to assess their productivity. The fish data were collected by depletion electrofishing.

Methods

Data Collection

The data were collected by the Salmo Streamkeepers and Poisson Consulting in 2015 and by the Salmo Streamkeepers in 2016 and 2017. The invertebrate data were processed by Westcott Environmental Services and the water chemistry and periphyton data by CARO Analytic. The data were provided to Poisson in the form of an Excel database.

Data Preparation

The data were manipulated using R version 3.4.3 (R Core Team 2015) and imported into an SQLite database.

Statistical Analysis

Model parameters were estimated using Bayesian methods. The Bayesian estimates were produced using JAGS (Plummer 2003). For additional information on Bayesian estimation the reader is referred to McElreath (2016).

Unless indicated otherwise, the Bayesian analyses used uninformative normal prior distributions (Kery and Schaub 2011, 36). The posterior distributions were estimated from 1500 Markov Chain Monte Carlo (MCMC) samples thinned from the second halves of 3 chains (Kery and Schaub 2011, 38–40). Model convergence was confirmed by ensuring that \(\hat{R} \leq 1.1\) (Kery and Schaub 2011, 40) and \(\textrm{ESS} \geq 150\) for each of the monitored parameters (Kery and Schaub 2011, 61). Where \(\hat{R}\) is the potential scale reduction factor and \(\textrm{ESS}\) is the effective sample size.

The parameters are summarised in terms of the point estimate, standard deviation (sd), the z-score, lower and upper 95% confidence/credible limits (CLs) and the p-value (Kery and Schaub 2011, 37, 42). The estimate is the median (50th percentile) of the MCMC samples, the z-score is \(\mathrm{mean}/\mathrm{sd}\) and the 95% CLs are the 2.5th and 97.5th percentiles. A p-value of 0.05 indicates that the lower or upper 95% CL is 0.

Where informative, model adequacy was confirmed by examination of residual plots for the full model(s).

The results are displayed graphically by plotting the modeled relationships between particular variables and the response(s) with the remaining variables held constant. In general, continuous and discrete fixed variables are held constant at their mean and first level values, respectively, while random variables are held constant at their typical values (expected values of the underlying hyperdistributions) (Kery and Schaub 2011, 77–82). When informative the influence of particular variables is expressed in terms of the effect size (i.e., percent change in the response variable) with 95% confidence/credible intervals (CIs, Bradford, Korman, and Higgins 2005).

The analyses were implemented using R version 3.4.3 (R Core Team 2015) and the mbr family of packages.

Model Descriptions

Periphyton Growth

Periphyton growth can be modelled using sigmoidal curves (Rodriguez 1987). Here we use the flexible unified-Richards model (Tjørve and Tjørve 2010)

\[P_t = A(1 + (d - 1)\exp(-K(t - T_i)/d^{d/(1-d)}))^{1/(1-d)}\] to model the periphyton density at time \(t\) (\(P_t\)) where \(A\) is the maximum density, \(K\) is the maximum relative growth rate, \(T_i\) is the time at maximum growth, and \(d\) is the relative value at maximum growth (Tjørve and Tjørve 2010).

Key assumptions of the growth model include:

  • \(A\) can vary randomly by series within location within creek within year
  • \(K\) can vary randomly by series within location within creek within year
  • \(T_i\) is 0
  • \(d\) is 0
  • The residual variation in \(P_t\) is log-normally distributed.

Rainbow Trout Density

The density of Rainbow Trout each site was estimated using a removal model (Wyatt 2002).

Key assumptions of the removal model include:

  • Lineal density varies by creek and randomly by site.
  • Capture efficiency varies randomly by pass within site within year.
  • The number of fish caught on each pass is binomially distributed.

Preliminary analyses indicated that year was not a significant predictor of density.

Model Templates

Periphyton Growth

model{
  bA ~ dnorm(0, 5^-2) 
  bK ~ dnorm(-5, 5^-2)

  sAYearCreekLocationSeries ~ dunif(0, 1)
  sKYearCreekLocationSeries ~ dunif(0, 1)
  for(i in 1:nYear) {
    for(j in 1:nCreek) {
      for(k in 1:nLocation) {
        for(l in 1:nSeries) {
          bAYearCreekLocationSeries[i, j, k, l] ~ dnorm(0, sAYearCreekLocationSeries^-2)
          bKYearCreekLocationSeries[i, j, k, l] ~ dnorm(0, sKYearCreekLocationSeries^-2)
        }
      }
    }
  }

  sPeriphyton ~ dunif(0, 1)
  for (i in 1:length(Periphyton)) {
    log(eA[i]) <- bA +  bAYearCreekLocationSeries[Year[i],Creek[i],Location[i],Series[i]]
    log(eK[i]) <- bK +  bKYearCreekLocationSeries[Year[i],Creek[i],Location[i],Series[i]]
    ePeriphyton[i] <- eA[i] * (1 - exp(-eK[i] * Days[i]))
    Periphyton[i] ~ dlnorm(log(ePeriphyton[i]), sPeriphyton^-2)
  }
..

Template 1. The model description.

Rainbow Trout Density

model{
  bDensity ~ dnorm(0, 5^-2)

  bDensityCreek[1] <- 0
  for (i in 2:nCreek) {
    bDensityCreek[i] ~ dnorm(0, 5^-2)
  }

  sDensitySite ~ dunif(0, 5)
  for (i in 1:nSite) {
    bDensitySite[i] ~ dnorm(0, sDensitySite^-2)
  }

  bEfficiency ~ dnorm(0, 2^-2)

  sEfficiencyYearSitePass ~ dunif(0, 2)
  for(i in 1:nYear) {
    for(j in 1:nSite) {
      for(k in 1:nPass) {
        bEfficiencyYearSitePass[i,j,k] ~ dnorm(0, sEfficiencyYearSitePass^-2)
      }
    }
  }

  for (i in 1:length(SiteLength)) {
    log(eDensity[i]) <- bDensity + bDensityCreek[Creek[i]] + bDensitySite[Site[i]]
    eAbundance[i] ~ dpois(eDensity[i] * SiteLength[i])
    eRemaining[i,1] <- eAbundance[i]

    for(j in 1:nPass) {
      logit(eEfficiency[i,j]) <- bEfficiency + bEfficiencyYearSitePass[Year[i], Site[i], j]
      Catch[i,j] ~ dbin(eEfficiency[i,j], eRemaining[i,j])
      eRemaining[i,j+1] <- eRemaining[i,j] - Catch[i,j]
    }
  }
..

Template 2. The model description.

Results

Tables

Periphyton Growth

Table 1. Parameter descriptions.

Parameter Description
bA Intercept for eA
bAYearCreekLocationSeries[i,j,k,l] Effect of ith year at jth creek at kth location at lth series on bA
bK Intercept for eK
bKYearCreekLocationSeries[i,j,k,l] Effect of ith year at jth creek at kth location at lth series on bK
Days[i] Time since deployment in creek at ith observation (days)
eA[i] Expected maximum ePeriphyton for ith observation
eK[i] Expected maximum relative growth of ePeriphyton for ith observation
ePeriphyton[i] Expected Periphyton for ith observation
Periphyton[i] Measured Chlorophyll-A density at ith observation (mg/m2)
sAYearCreekLocationSeries SD of bAYearCreekLocationSeries
sKYearCreekLocationSeries SD of bKYearCreekLocationSeries
sPeriphyton SD of residual variation in Periphyton

Table 2. Model coefficients.

term estimate sd zscore lower upper pvalue
bA 1.7528139 0.0899591 19.489965 1.5829985 1.9389502 7e-04
bK -2.8275844 0.2016678 -13.981585 -3.2136251 -2.4016112 7e-04
sAYearCreekLocationSeries 0.2212607 0.0907603 2.421603 0.0352755 0.4009219 7e-04
sKYearCreekLocationSeries 0.4597242 0.1800653 2.592648 0.0908912 0.8500394 7e-04
sPeriphyton 0.3643397 0.0278003 13.140708 0.3129817 0.4217670 7e-04

Table 3. Model summary.

n K nchains niters nthin ess rhat converged
137 5 3 500 100 1056 1.005 TRUE

Rainbow Trout Density

Table 4. Parameter descriptions.

Parameter Description
bDensity Intercept for log(eDensity)
bDensityCreek[i] Effect of ith Creek on bDensity
bDensitySite[i] Effect of ith Site on bDensity
bEfficiency Intercept for logit(eEfficiency)
bEfficiencyYearSitePass[i,j,k] Effect of ith Year at jth Site at kth Pass on bEfficiency
Catch[i, j] Catch on jth pass at ith site visit
Creek Creek on ith site visit
eAbundance[i] Expected total number of fish at ith site visit
eDensity[i] Expected lineal density at ith site visit (fish/m)
eEfficiency[i] Expected efficiency during ith site visit
eRemaining[i, j] Expected number of fish remaining after jth pass at ith site visit
sDensitySite SD of bDensitySite
sEfficiencyYearSitePass SD of bEfficiencyYearSitePass
Site Site on ith site visit
SiteLength Length of creek surveyed during ith site visit (m)
Year Year on ith site visit

Table 5. Model coefficients.

term estimate sd zscore lower upper pvalue
bDensity -0.1524739 0.1891862 -0.7885377 -0.5147539 0.2396398 0.3587
bDensityCreek[2] 0.4053819 0.2260175 1.7787547 -0.0499179 0.8754357 0.0720
bEfficiency -0.1455399 0.3143788 -0.5314010 -0.8252120 0.4081983 0.6187
sDensitySite 0.1622042 0.1655570 1.1666716 0.0139174 0.5560167 0.0007
sEfficiencyYearSitePass 0.6789001 0.1946906 3.5447247 0.3461363 1.1020117 0.0007

Table 6. Model summary.

n K nchains niters nthin ess rhat converged
58 5 3 500 10 318 1.015 TRUE

Bull Trout

Table 7. Bull Trout captured during electrofishing surveys.

Waterbody Dayte Year EFSite Location Species ForkLength BodyWeight
Curtis Creek 1972-08-03 2016 CUR1 1 BT 91 10
Curtis Creek 1972-08-03 2016 CUR1 1 BT 95 10
Curtis Creek 1972-08-03 2016 CUR2 2 BT 92 10
Curtis Creek 1972-08-14 2017 CUR2 2 BT 115 18

Figures

Water Temperature

figures/temperature/temperature.png
Figure 1. Hourly water temperature by year, creek and location.

Periphyton Growth

figures/periphyton/prediction.png
Figure 2. The estimated productivity by series, creek, location and year (with 95% CIs).
figures/periphyton/maximum.png
Figure 3. The estimated maximum productivity by series, creek, location and year (with 95% CIs).
figures/periphyton/rate.png
Figure 4. The estimated maximum growth rate by series, creek, location and year (with 95% CIs).

Benthic Invertebrates

figures/benthic/ept.png
Figure 5. Number of Ephemeroptera, Plecoptera and Trichoptera from three minute standard kick sample by year, creek and location.
figures/benthic/shannon.png
Figure 6. Shannon Diversity Index by year, creek and location.

Rainbow Trout Length-Weight

figures/fish/length.png
Figure 7. Length-frequency for electrofished Rainbow Trout by year, creek and location.
figures/fish/condition.png
Figure 8. Body mass by fork length for electrofished Rainbow Trout by year, creek and location.

Rainbow Trout Density

figures/ef/density.png
Figure 9. Lineal density of Rainbow Trout by creek and site.
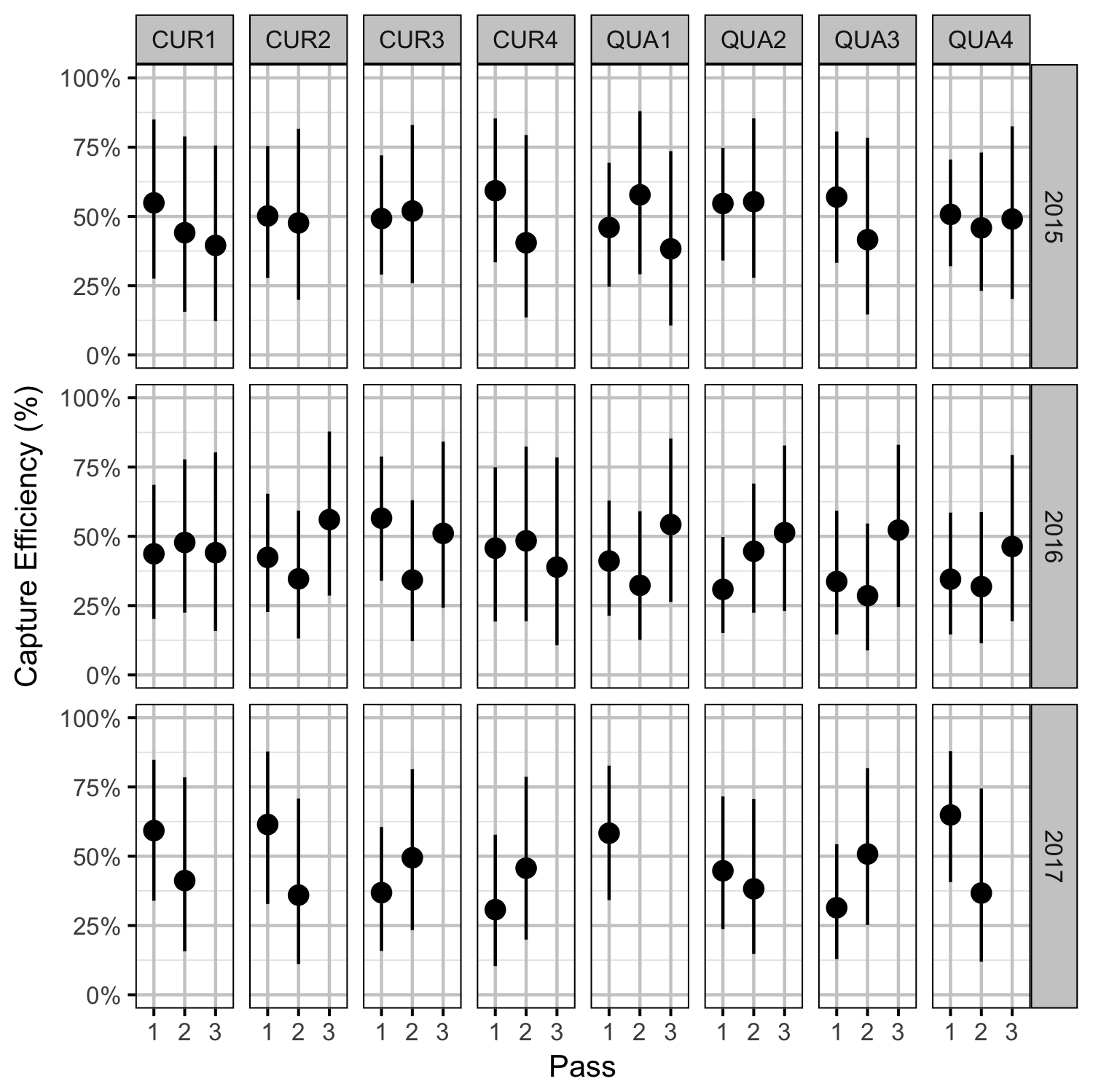
figures/ef/efficiency.png
Figure 10. Capture efficiency of Rainbow Trout by electrofishing pass, site and year.

Chemical

figures/chemical/np-cc.png
Figure 11. Total nitrogen and phosphorus (as P) concentrations in Curtis Creek by year, month and location.
figures/chemical/np-qc.png
Figure 12. Total nitrogen and phosphorus (as P) concentrations in Qua Creek by year, month and location.

Recommendations

  • Early season periphyton growth should be monitored until late October

Acknowledgements

The organisations and individuals whose contributions have made this analysis report possible include:

  • Fish and Wildlife Compensation Program
    • Crystal Klym
  • Poisson Consulting
    • Robyn Irvine
  • Salmo Streamkeepers
    • Gerry Nellestin
    • Eleanor Duifhuis
    • Tanya Chi Tran
  • Westcott Environmental Services
    • Lynn Westcott
  • CARO Analytic

References

Bradford, Michael J, Josh Korman, and Paul S Higgins. 2005. “Using Confidence Intervals to Estimate the Response of Salmon Populations (Oncorhynchus Spp.) to Experimental Habitat Alterations.” Canadian Journal of Fisheries and Aquatic Sciences 62 (12): 2716–26. https://doi.org/10.1139/f05-179.

Kery, Marc, and Michael Schaub. 2011. Bayesian Population Analysis Using WinBUGS : A Hierarchical Perspective. Boston: Academic Press. http://www.vogelwarte.ch/bpa.html.

McElreath, Richard. 2016. Statistical Rethinking: A Bayesian Course with Examples in R and Stan. Chapman & Hall/CRC Texts in Statistical Science Series 122. Boca Raton: CRC Press/Taylor & Francis Group.

Plummer, Martyn. 2003. “JAGS: A Program for Analysis of Bayesian Graphical Models Using Gibbs Sampling.” In Proceedings of the 3rd International Workshop on Distributed Statistical Computing (DSC 2003), edited by Kurt Hornik, Friedrich Leisch, and Achim Zeileis. Vienna, Austria.

R Core Team. 2015. “R: A Language and Environment for Statistical Computing.” Vienna, Austria: R Foundation for Statistical Computing. http://www.R-project.org/.

Rodriguez, Marco A. 1987. “Estimating Periphyton Growth Parameters Using Simple Models.” Limnology and Oceanography 32 (2): 458–64.

Tjørve, Even, and Kathleen M. C. Tjørve. 2010. “A Unified Approach to the Richards-Model Family for Use in Growth Analyses: Why We Need Only Two Model Forms.” Journal of Theoretical Biology 267 (3): 417–25. https://doi.org/10.1016/j.jtbi.2010.09.008.

Wyatt, Robin J. 2002. “Estimating Riverine Fish Population Size from Single- and Multiple-Pass Removal Sampling Using a Hierarchical Model.” Canadian Journal of Fisheries and Aquatic Sciences 59 (4): 695–706. https://doi.org/10.1139/f02-041.